Официальное опубликование правовых актов
ОФИЦИАЛЬНОЕ ОПУБЛИКОВАНИЕ
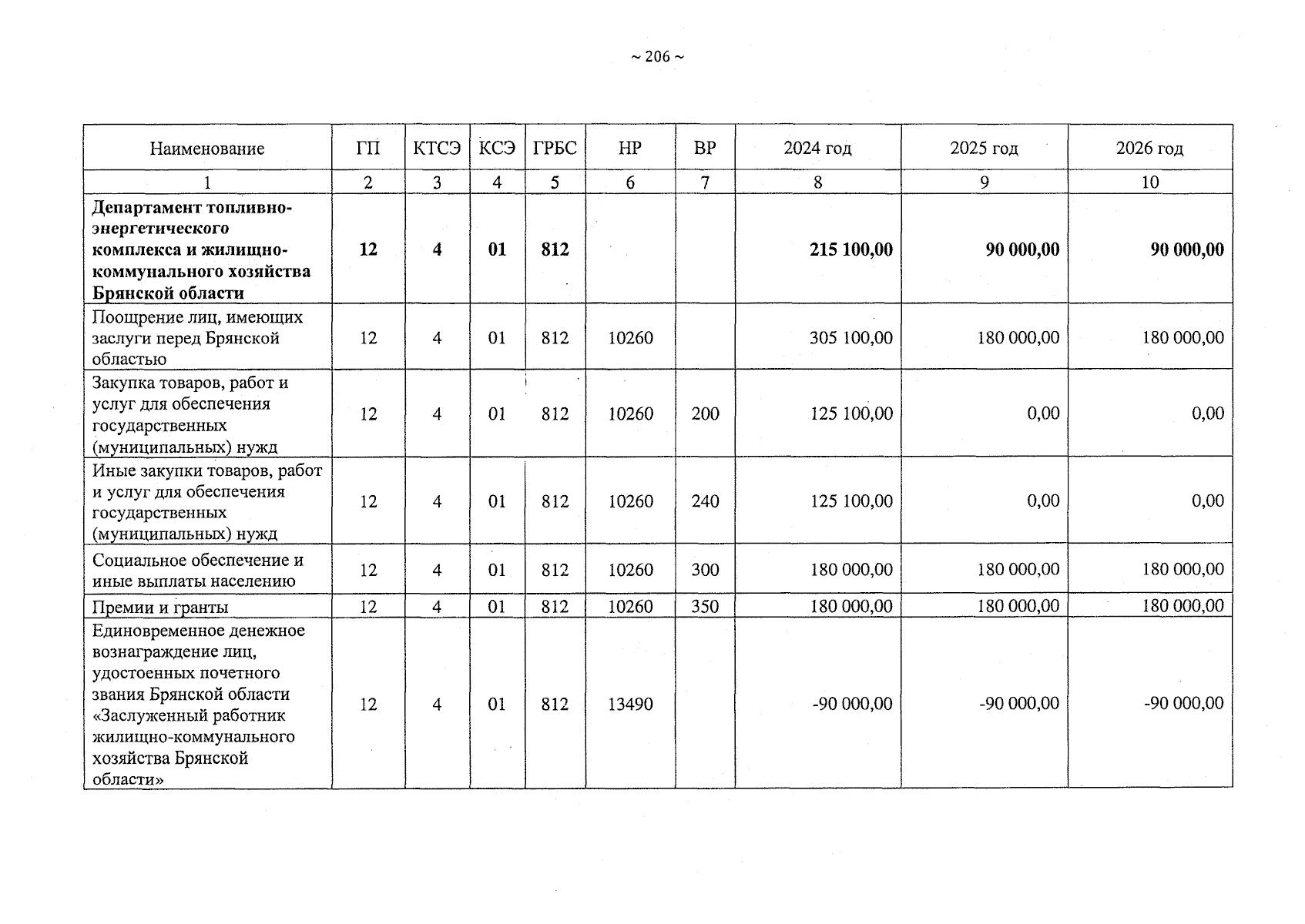
Закон Брянской области от 01.03.2024 № 13-З
"О внесении изменений в Закон Брянской области "Об областном бюджете на 2024 год и на плановый период 2025 и 2026 годов"
Номер опубликования: 3200202403010006
Дата опубликования: 01.03.2024
Страница №206 из 367:
Увеличить