Официальное опубликование правовых актов
ОФИЦИАЛЬНОЕ ОПУБЛИКОВАНИЕ
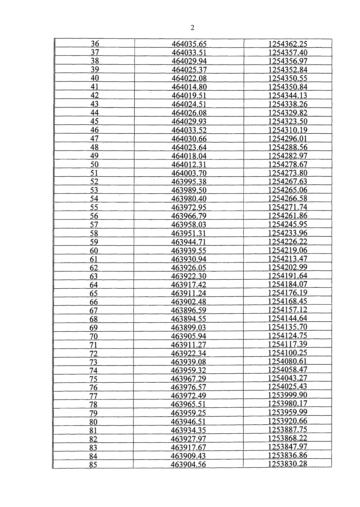
Указ Губернатора Брянской области от 12.02.2024 № 11
"Об установлении охранных зон памятников природы регионального значения, расположенных в Суражском районе Брянской области, утверждении их положений и границ"
Номер опубликования: 3200202402190011
Дата опубликования: 19.02.2024
Страница №10 из 22:
Увеличить