Официальное опубликование правовых актов
ОФИЦИАЛЬНОЕ ОПУБЛИКОВАНИЕ
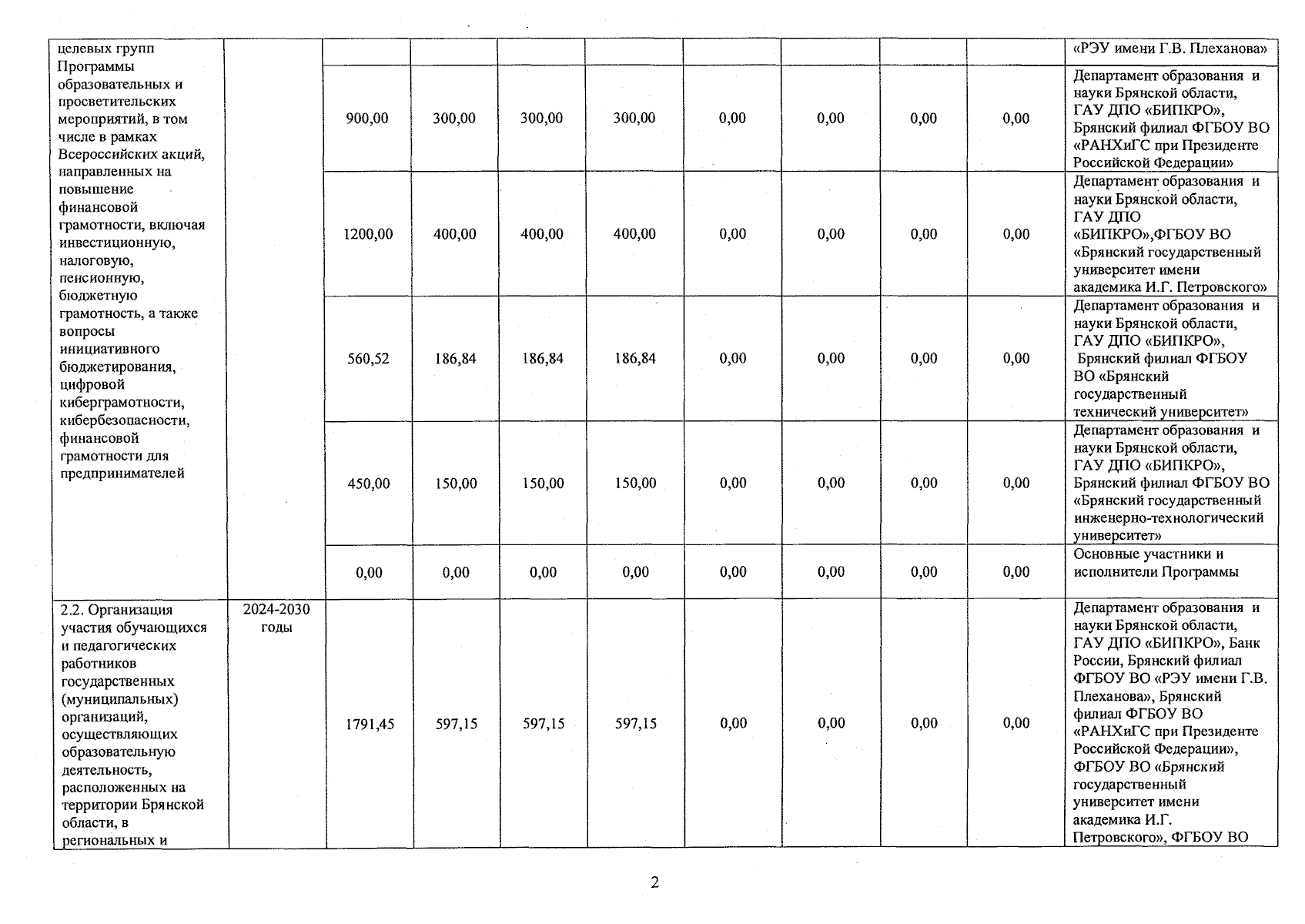
Постановление Правительства Брянской области от 09.01.2024 № 1-п
"Об утверждении региональной программы "Повышение финансовой грамотности и формирование финансовой культуры населения Брянской области на 2024 — 2030 годы"
Номер опубликования: 3200202401090001
Дата опубликования: 09.01.2024
Страница №26 из 32:
Увеличить