Официальное опубликование правовых актов
ОФИЦИАЛЬНОЕ ОПУБЛИКОВАНИЕ
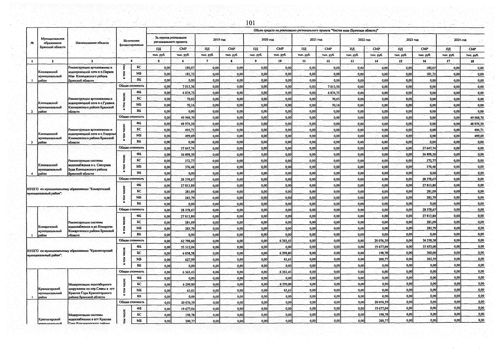
Постановление Правительства Брянской области от 26.12.2023 № 761-п
"О внесении изменений в постановление Правительства Брянской области от 31 декабря 2018 года № 752-п "Об утверждении государственной программы "Развитие топливно-энергетического комплекса и жилищно-коммунального хозяйства Брянской области"
Номер опубликования: 3200202312290012
Дата опубликования: 29.12.2023
Страница №103 из 211:
Увеличить