Официальное опубликование правовых актов
ОФИЦИАЛЬНОЕ ОПУБЛИКОВАНИЕ
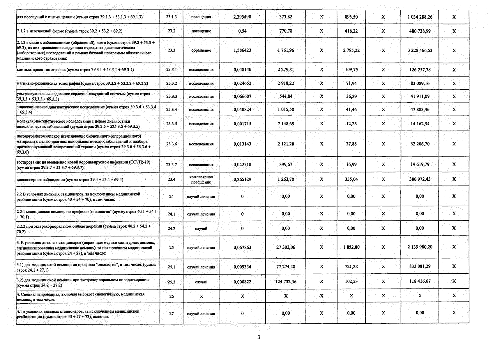
Постановление Правительства Брянской области от 26.12.2023 № 734-п
"О внесении изменений в территориальную программу государственных гарантий бесплатного оказания гражданам медицинской помощи на 2023 год и на плановый период 2024 и 2025 годов"
Номер опубликования: 3200202312280010
Дата опубликования: 28.12.2023
Страница №19 из 32:
Увеличить