Официальное опубликование правовых актов
ОФИЦИАЛЬНОЕ ОПУБЛИКОВАНИЕ
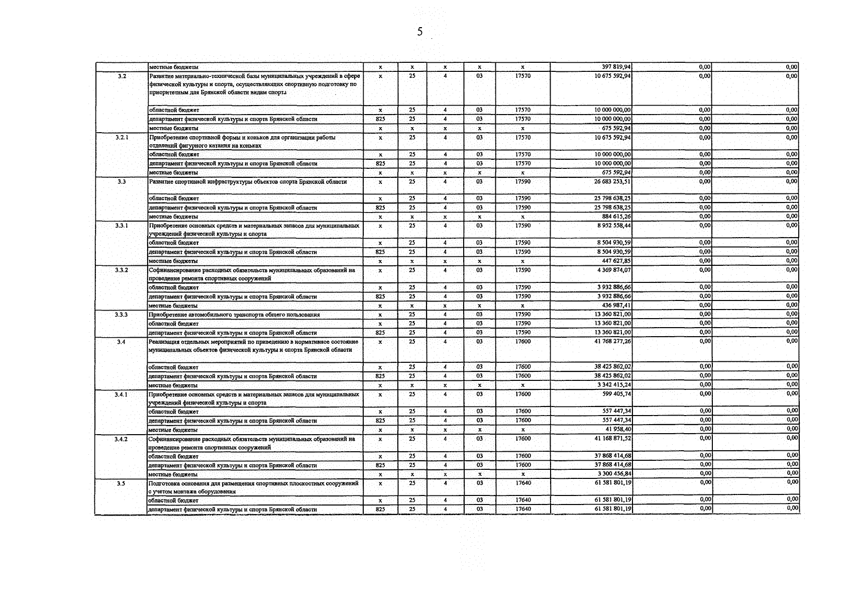
Постановление Правительства Брянской области от 26.12.2023 № 722-п
"О внесении изменений в государственную программу "Развитие физической культуры и спорта Брянской области"
Номер опубликования: 3200202312280006
Дата опубликования: 28.12.2023
Страница №10 из 17:
Увеличить