Официальное опубликование правовых актов
ОФИЦИАЛЬНОЕ ОПУБЛИКОВАНИЕ
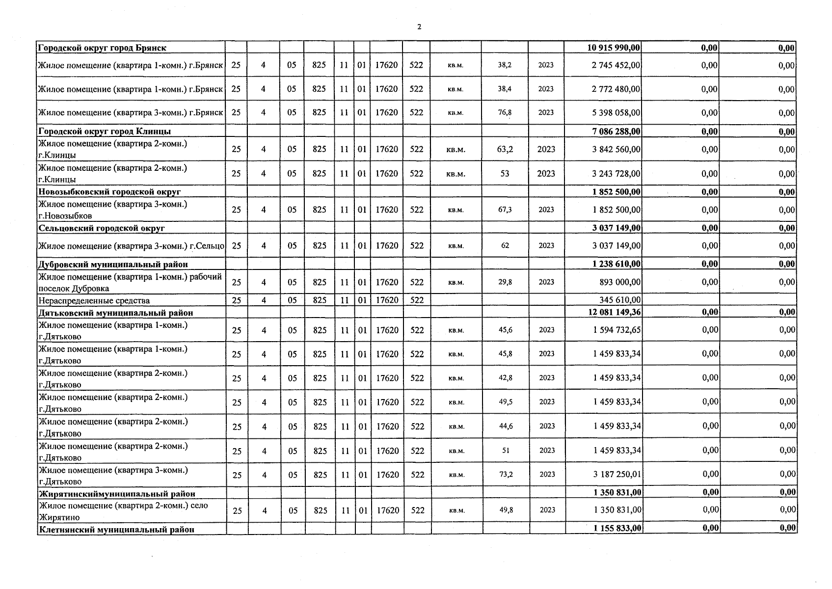
Постановление Правительства Брянской области от 15.12.2023 № 661-п
"О внесении изменений в постановление Правительства Брянской области от 20 декабря 2022 года № 626-п"
Номер опубликования: 3200202312150029
Дата опубликования: 15.12.2023
Страница №47 из 48:
Увеличить