Официальное опубликование правовых актов
ОФИЦИАЛЬНОЕ ОПУБЛИКОВАНИЕ
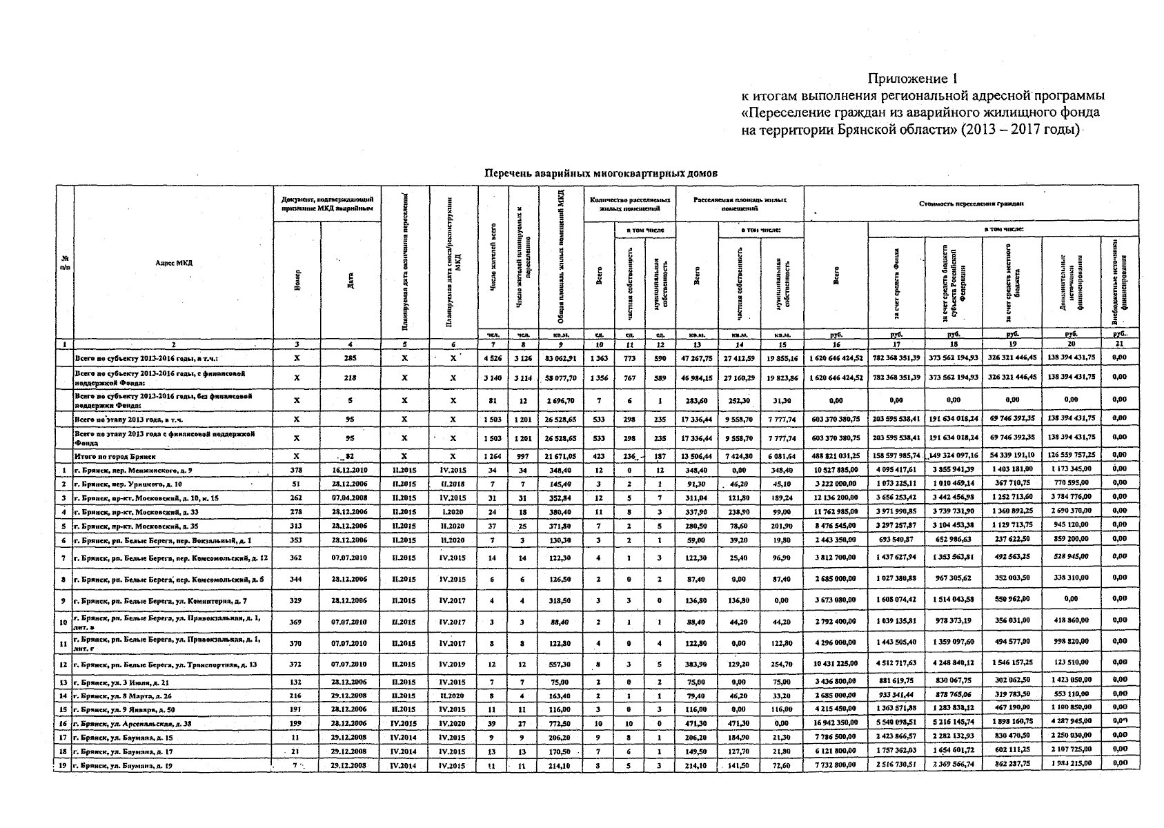
Постановление Правительства Брянской области от 20.11.2023 № 570-п
"Об итогах выполнения региональной адресной программы "Переселение граждан из аварийного жилищного фонда на территории Брянской области" (2013 — 2017 годы)"
Номер опубликования: 3200202311240020
Дата опубликования: 24.11.2023
Страница №5 из 23:
Увеличить