Официальное опубликование правовых актов
ОФИЦИАЛЬНОЕ ОПУБЛИКОВАНИЕ
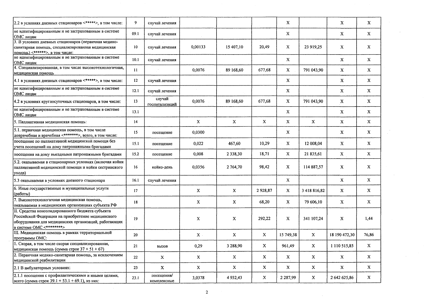
Постановление Правительства Брянской области от 30.10.2023 № 516-п
"О внесении изменений в территориальную программу государственных гарантий бесплатного оказания гражданам медицинской помощи на 2023 год и на плановый период 2024 и 2025 годов"
Номер опубликования: 3200202311030014
Дата опубликования: 03.11.2023
Страница №93 из 103:
Увеличить