Официальное опубликование правовых актов
ОФИЦИАЛЬНОЕ ОПУБЛИКОВАНИЕ
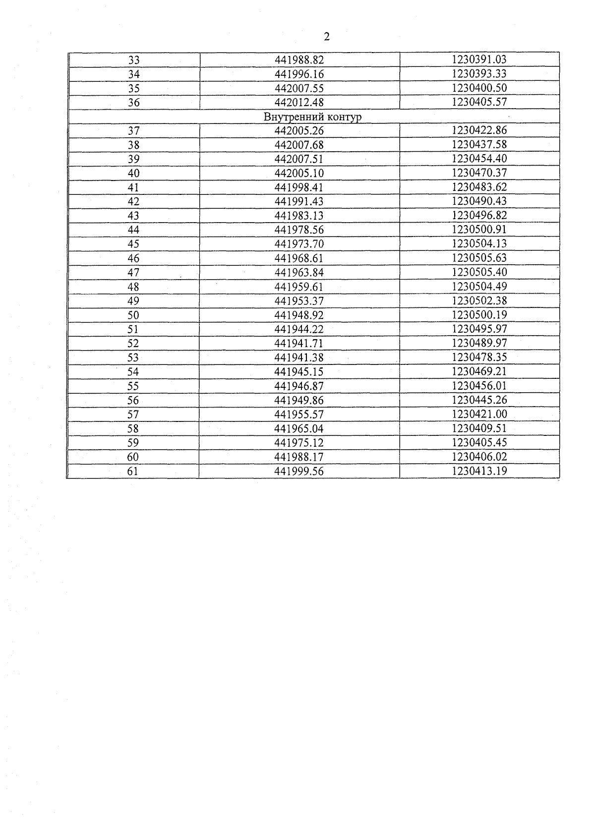
Указ Губернатора Брянской области от 02.11.2023 № 152
"О внесении изменений в указ Губернатора Брянской области от 14 июля 2023 года № 85 "Об установлении охранных зон памятников природы регионального значения, расположенных в Клинцовском районе Брянской области, и утверждении их положений и границ"
Номер опубликования: 3200202311030012
Дата опубликования: 03.11.2023
Страница №10 из 18:
Увеличить