Официальное опубликование правовых актов
ОФИЦИАЛЬНОЕ ОПУБЛИКОВАНИЕ
Указ Губернатора Брянской области от 02.11.2023 № 153
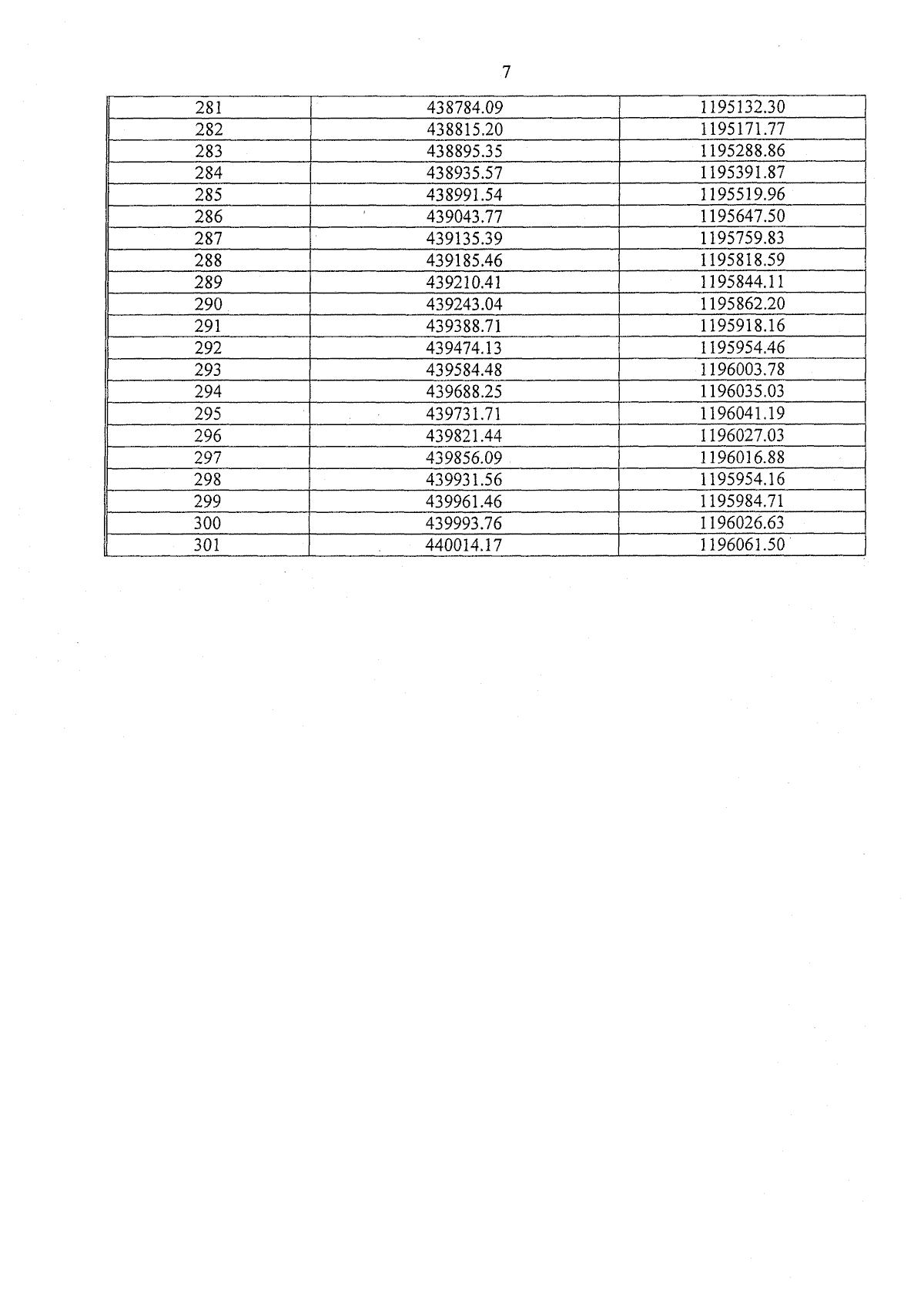
"О внесении изменений в указ Губернатора Брянской области от 14 июля 2023 года № 86 "Об установлении охранных зон памятников природы регионального значения, расположенных в Красногорском районе Брянской области, и утверждении их положений и границ"
Номер опубликования: 3200202311030007
Дата опубликования: 03.11.2023
Страница №9 из 24:
Увеличить