Официальное опубликование правовых актов
ОФИЦИАЛЬНОЕ ОПУБЛИКОВАНИЕ
Указ Губернатора Брянской области от 02.11.2023 № 149
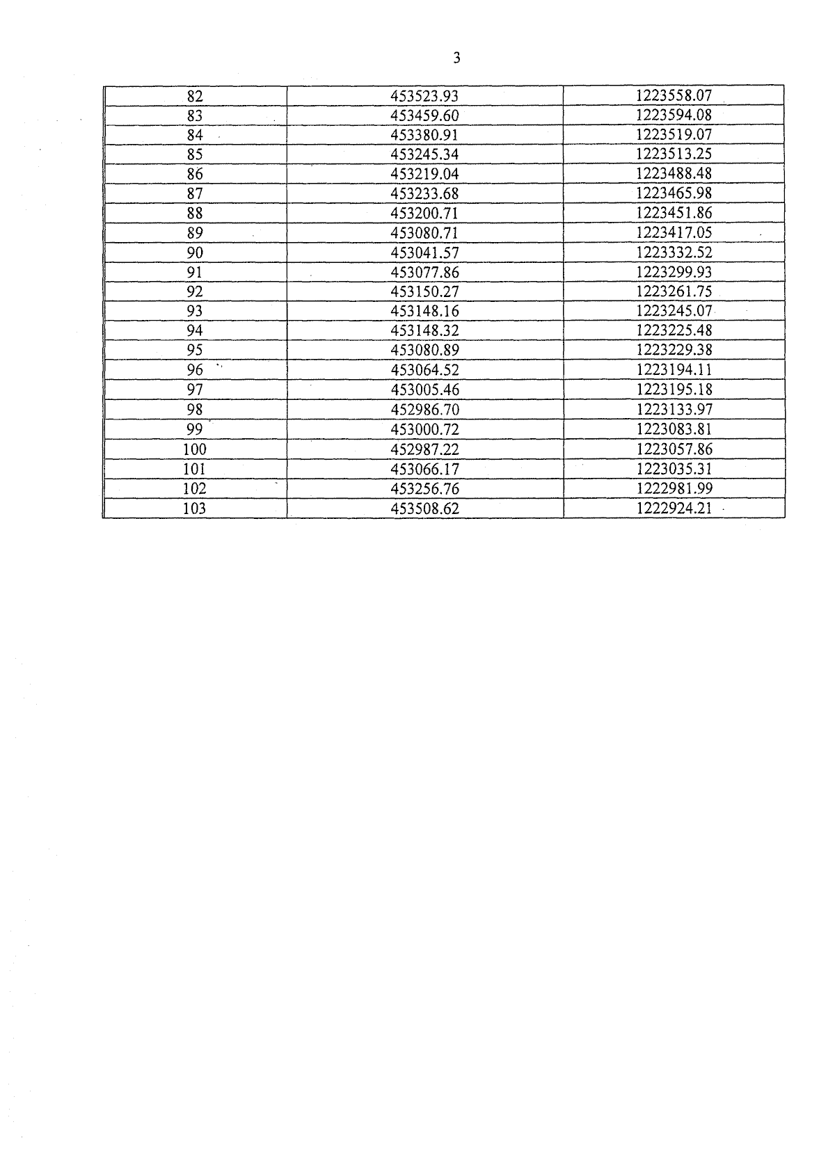
"О внесении изменений в указ Губернатора Брянской области от 13 июля 2023 года № 81 "Об установлении охранной зоны памятника природы регионального значения, расположенного в Гордеевском районе Брянской области, и утверждении ее Положения и границ"
Номер опубликования: 3200202311030004
Дата опубликования: 03.11.2023
Страница №5 из 6:
Увеличить