Официальное опубликование правовых актов
ОФИЦИАЛЬНОЕ ОПУБЛИКОВАНИЕ
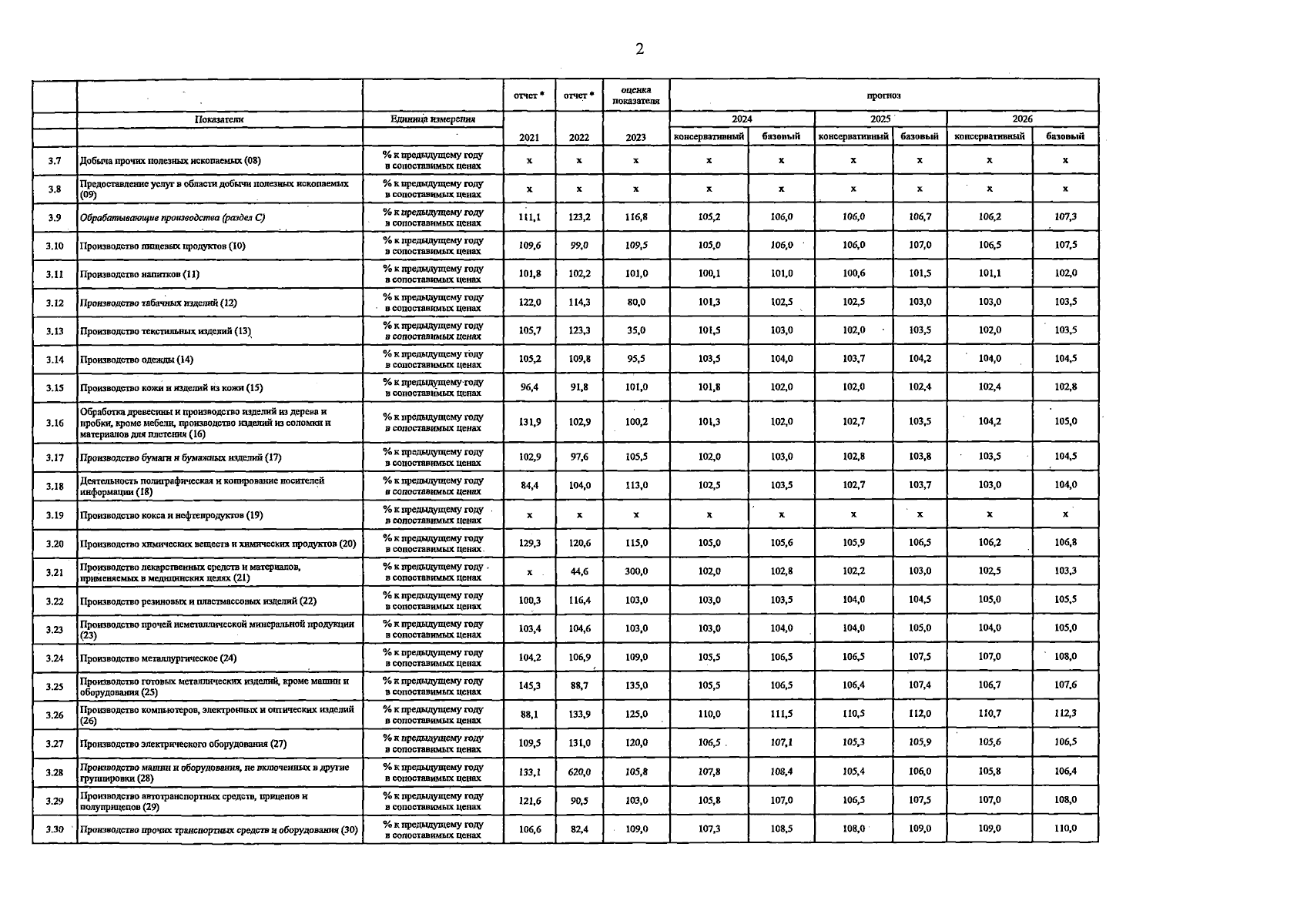
Распоряжение Правительства Брянской области от 23.10.2023 № 298-рп
"Об одобрении прогноза социально-экономического развития Брянской области на 2024 год и на плановый период 2025 и 2026 годов"
Номер опубликования: 3200202310270001
Дата опубликования: 27.10.2023
Страница №3 из 8:
Увеличить