Официальное опубликование правовых актов
ОФИЦИАЛЬНОЕ ОПУБЛИКОВАНИЕ
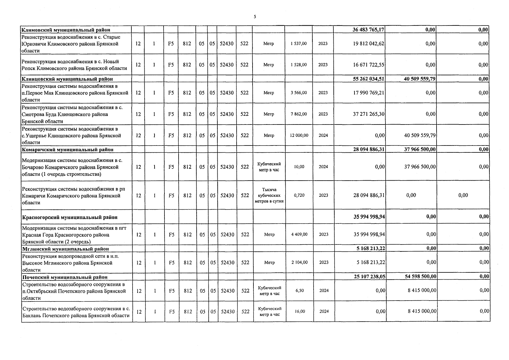
Постановление Правительства Брянской области от 16.10.2023 № 492-п
"О внесении изменений в постановление Правительства Брянской области от 20 декабря 2022 года № 626-п"
Номер опубликования: 3200202310200006
Дата опубликования: 20.10.2023
Страница №24 из 57:
Увеличить