Официальное опубликование правовых актов
ОФИЦИАЛЬНОЕ ОПУБЛИКОВАНИЕ
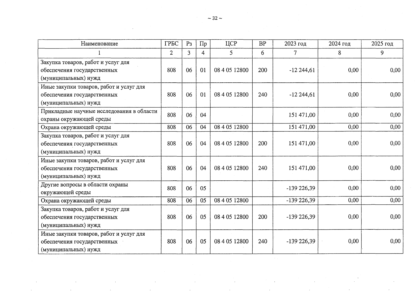
Закон Брянской области от 12.10.2023 № 79-З
"О внесении изменений в Закон Брянской области "Об областном бюджете на 2023 год и на плановый период 2024 и 2025 годов"
Номер опубликования: 3200202310130001
Дата опубликования: 13.10.2023
Страница №32 из 523:
Увеличить