Официальное опубликование правовых актов
ОФИЦИАЛЬНОЕ ОПУБЛИКОВАНИЕ
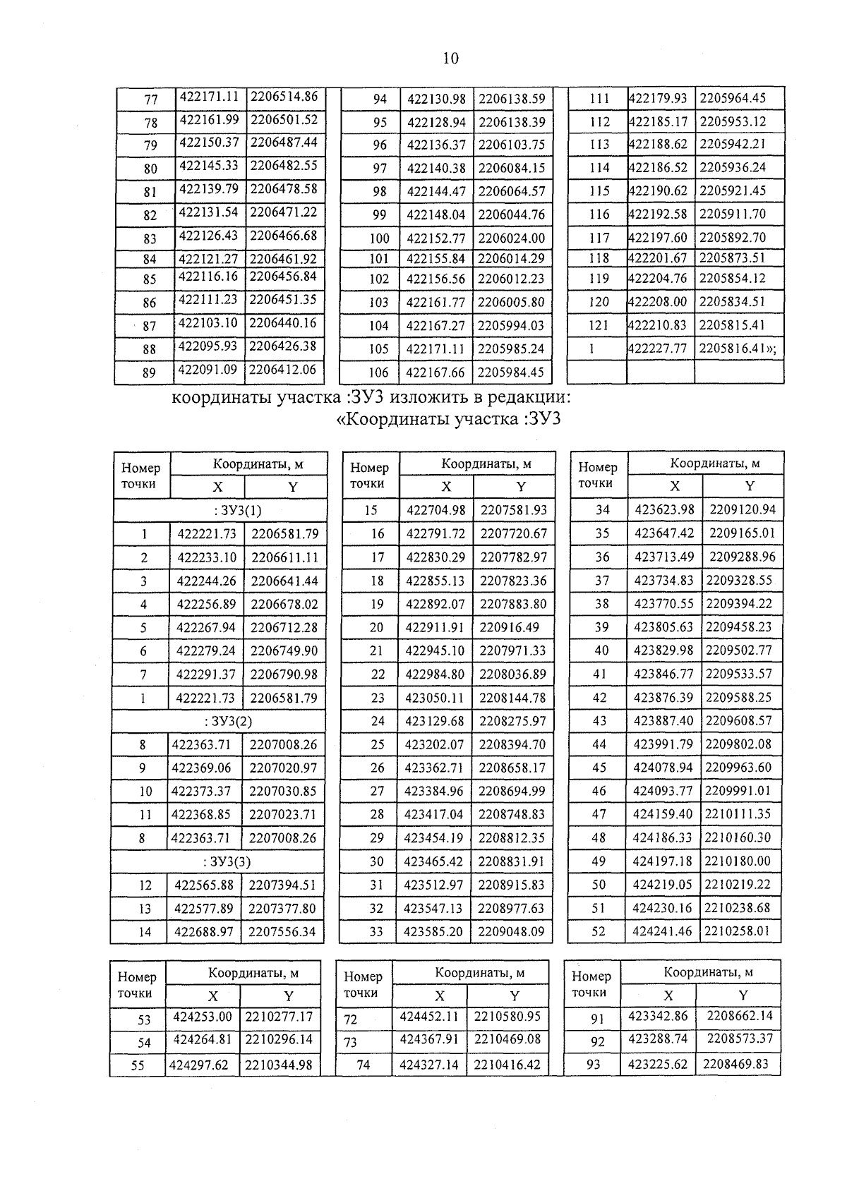
Постановление Правительства Брянской области от 19.09.2023 № 446-п
"Об утверждении внесения изменений в основную часть проекта планировки территории, содержащую проект межевания территории, для размещения линейного объекта на реконструкцию автомобильной дороги "Локоть - Кретово" - Турищево на участке км 17+560 - км 26+560 в Брасовском районе Брянской области"
Номер опубликования: 3200202309220011
Дата опубликования: 22.09.2023
Страница №10 из 25:
Увеличить