Официальное опубликование правовых актов
ОФИЦИАЛЬНОЕ ОПУБЛИКОВАНИЕ
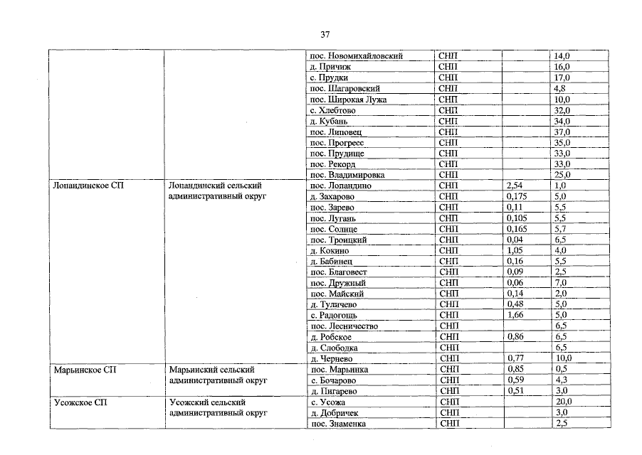
Постановление Правительства Брянской области от 31.07.2023 № 347-п
"Об утверждении реестра административно-территориальных единиц, городских административных округов, поселковых административных округов, сельских административных округов, населенных пунктов Брянской области"
Номер опубликования: 3200202308040003
Дата опубликования: 04.08.2023
Страница №39 из 172:
Увеличить