Официальное опубликование правовых актов
ОФИЦИАЛЬНОЕ ОПУБЛИКОВАНИЕ
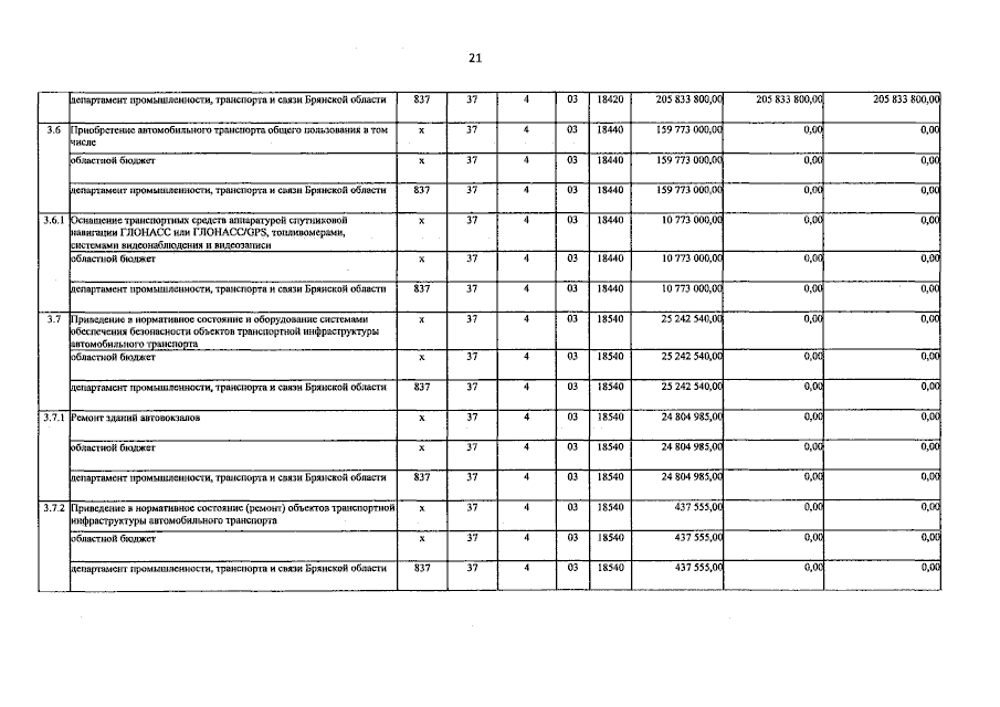
Постановление Правительства Брянской области от 03.07.2023 № 273-п
"О внесении изменений в государственную программу "Развитие промышленности, транспорта и связи Брянской области"
Номер опубликования: 3200202307070001
Дата опубликования: 07.07.2023
Страница №21 из 59:
Увеличить