Официальное опубликование правовых актов
ОФИЦИАЛЬНОЕ ОПУБЛИКОВАНИЕ
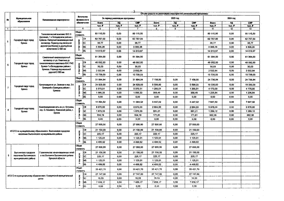
Постановление Правительства Брянской области от 07.06.2023 № 224-п
"О внесении изменений в региональную программу Брянской области "Модернизация систем коммунальной инфраструктуры на 2023 - 2027 годы"
Номер опубликования: 3200202306090003
Дата опубликования: 09.06.2023
Страница №12 из 43:
Увеличить