Официальное опубликование правовых актов
ОФИЦИАЛЬНОЕ ОПУБЛИКОВАНИЕ
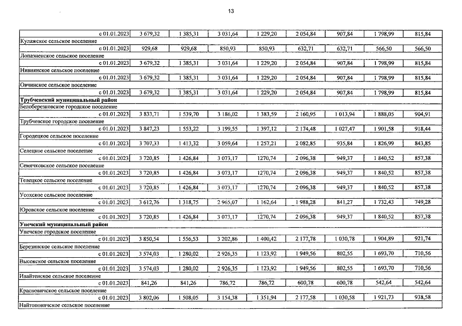
Постановление Правительства Брянской области от 05.06.2023 № 208-п
"О региональных стандартах стоимости жилищно—коммунальных услуг‚ используемых для расчета субсидий на оплату жилого помещения и коммунальных услуг"
Номер опубликования: 3200202306070001
Дата опубликования: 07.06.2023
Страница №44 из 45:
Увеличить