Официальное опубликование правовых актов
ОФИЦИАЛЬНОЕ ОПУБЛИКОВАНИЕ
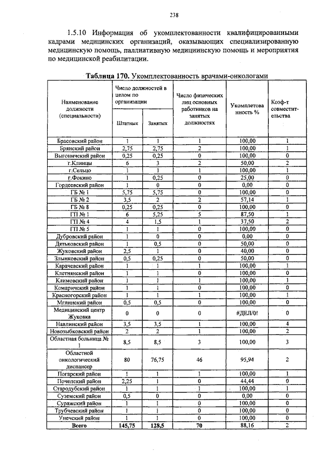
Постановление Правительства Брянской области от 31.05.2023 № 200-п
"О внесении изменений в региональную программу Брянской области "Борьба с онкологическими заболеваниями"
Номер опубликования: 3200202306060002
Дата опубликования: 06.06.2023
Страница №239 из 338:
Увеличить