Официальное опубликование правовых актов
ОФИЦИАЛЬНОЕ ОПУБЛИКОВАНИЕ
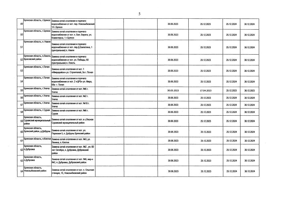
Постановление Правительства Брянской области от 20.03.2023 № 99-п
"Об утверждении региональной программы Брянской области "Модернизация систем коммунальной инфраструктуры на 2023 - 2027 годы"
Номер опубликования: 3200202303240003
Дата опубликования: 24.03.2023
Страница №42 из 53:
Увеличить