Официальное опубликование правовых актов
ОФИЦИАЛЬНОЕ ОПУБЛИКОВАНИЕ
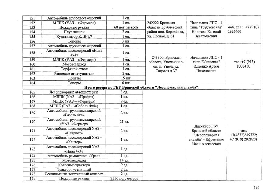
Указ Губернатора Брянской области от 06.03.2023 № 21
"Об утверждении сводного плана тушения лесных пожаров на территории Брянской области на период пожароопасного сезона 2023 года"
Номер опубликования: 3200202303140001
Дата опубликования: 14.03.2023
Страница №196 из 211:
Увеличить