Официальное опубликование правовых актов
ОФИЦИАЛЬНОЕ ОПУБЛИКОВАНИЕ
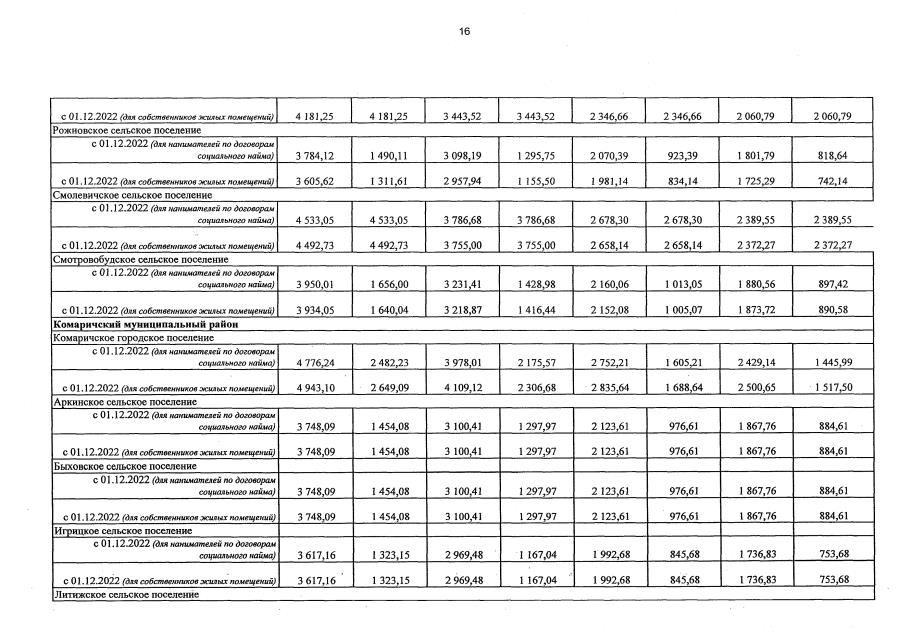
Постановление Правительства Брянской области от 06.03.2023 № 84-п
"О региональных стандартах стоимости жилищно-коммунальных услуг‚ используемых для расчета субсидий на оплату жилого помещения и коммунальных услуг"
Номер опубликования: 3200202303130012
Дата опубликования: 13.03.2023
Страница №18 из 45:
Увеличить