Официальное опубликование правовых актов
ОФИЦИАЛЬНОЕ ОПУБЛИКОВАНИЕ
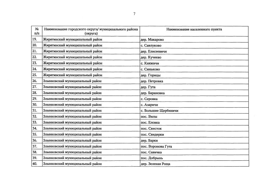
Постановление Правительства Брянской области от 06.03.2023 № 79-п
"Об установлении начала пожароопасного сезона 2023 года на территории Брянской области, утверждении перечней населенных пунктов, территорий организаций отдыха детей и их оздоровления, территорий садоводства или огородничества, расположенных на территории Брянской области, подверженных угрозе лесных пожаров и других ландшафтных (природных) пожаров"
Номер опубликования: 3200202303130009
Дата опубликования: 13.03.2023
Страница №11 из 19:
Увеличить