Официальное опубликование правовых актов
ОФИЦИАЛЬНОЕ ОПУБЛИКОВАНИЕ
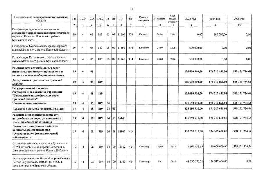
Постановление Правительства Брянской области от 06.02.2023 № 43-п
"О внесении изменений в перечень объектов бюджетных инвестиций государственной собственности региональной адресной инвестиционной программы на 2023 - 2025 годы"
Номер опубликования: 3200202302080002
Дата опубликования: 08.02.2023
Страница №12 из 15:
Увеличить