Официальное опубликование правовых актов
ОФИЦИАЛЬНОЕ ОПУБЛИКОВАНИЕ
Постановление Правительства Брянской области от 28.12.2022 № 696-п
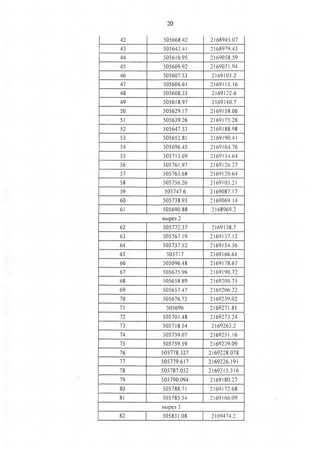
"Об утверждении изменений в проект планировки территории земельных участков, расположенных по адресу: Брянская область, Брянский район, дер. Дубровка, участок № 8 ГУП ОНО ОПХ "Черемушки", и проект межевания территории земельных участков, расположенных по адресу: Брянская область, Брянский район, дер. Дубровка, участок № 8 ГУП ОНО ОПХ "Черемушки"
Номер опубликования: 3200202301040001
Дата опубликования: 04.01.2023
Страница №267 из 308:
Увеличить