Официальное опубликование правовых актов
ОФИЦИАЛЬНОЕ ОПУБЛИКОВАНИЕ
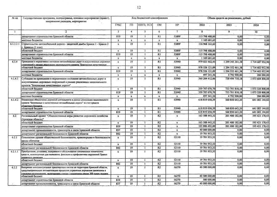
Постановление Правительства Брянской области от 27.12.2022 № 683-п
"О внесении изменений в государственную программу "Обеспечение реализации государственных полномочий в области строительства, архитектуры и развитие дорожного хозяйства Брянской области"
Номер опубликования: 3200202301030011
Дата опубликования: 03.01.2023
Страница №46 из 69:
Увеличить