Официальное опубликование правовых актов
ОФИЦИАЛЬНОЕ ОПУБЛИКОВАНИЕ
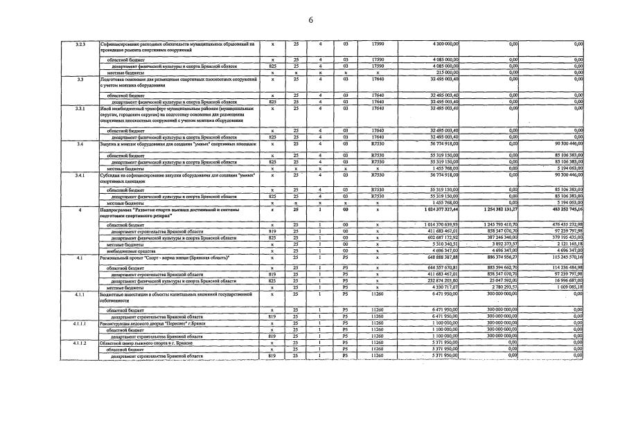
Постановление Правительства Брянской области от 26.12.2022 № 664-п
"О внесении изменений в государственную программу "Развитие физической культуры и спорта Брянской области"
Номер опубликования: 3200202212290024
Дата опубликования: 29.12.2022
Страница №20 из 27:
Увеличить