Официальное опубликование правовых актов
ОФИЦИАЛЬНОЕ ОПУБЛИКОВАНИЕ
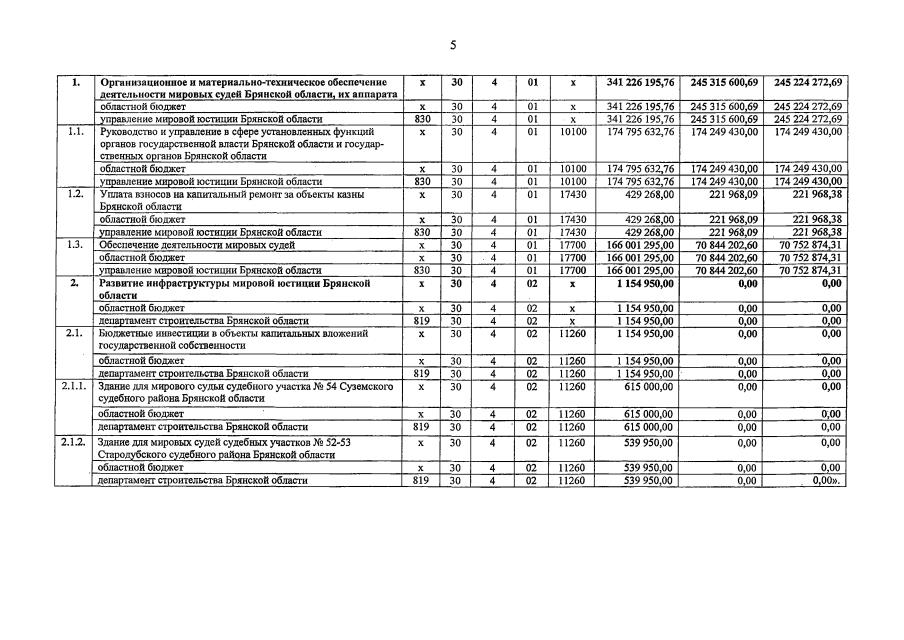
Постановление Правительства Брянской области от 26.12.2022 № 649-п
"О внесении изменений в государственную программу "Развитие мировой юстиции Брянской области"
Номер опубликования: 3200202212290023
Дата опубликования: 29.12.2022
Страница №5 из 6:
Увеличить