Официальное опубликование правовых актов
ОФИЦИАЛЬНОЕ ОПУБЛИКОВАНИЕ
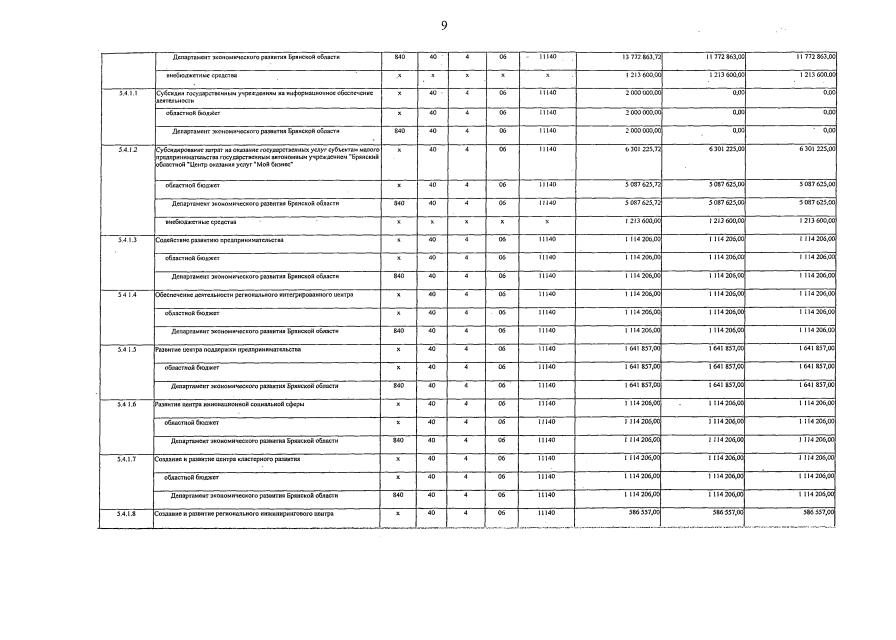
Постановление Правительства Брянской области от 23.12.2022 № 641-п
"О внесении изменений в государственную программу "Экономическое развитие, инвестиционная политика и инновационная экономика Брянской области"
Номер опубликования: 3200202212290012
Дата опубликования: 29.12.2022
Страница №13 из 16:
Увеличить