Официальное опубликование правовых актов
ОФИЦИАЛЬНОЕ ОПУБЛИКОВАНИЕ
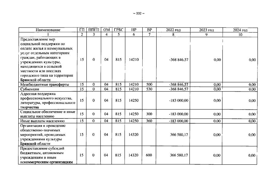
Закон Брянской области от 22.12.2022 № 101-З
"О внесении изменений в Закон Брянской области "Об областном бюджете на 2022 год и на плановый период 2023 и 2024 годов"
Номер опубликования: 3200202212220031
Дата опубликования: 22.12.2022
Страница №332 из 498:
Увеличить