Официальное опубликование правовых актов
ОФИЦИАЛЬНОЕ ОПУБЛИКОВАНИЕ
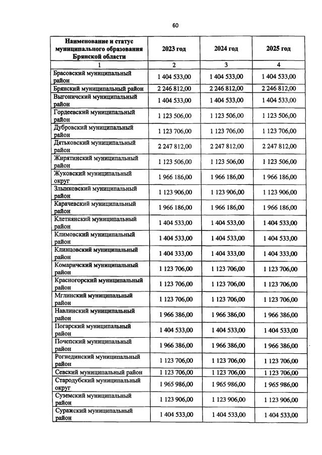
Закон Брянской области от 12.12.2022 № 100-З
"Об областном бюджете на 2023 год и на плановый период 2024 и 2025 годов"
Номер опубликования: 3200202212140005
Дата опубликования: 14.12.2022
Страница №877 из 899:
Увеличить