Официальное опубликование правовых актов
ОФИЦИАЛЬНОЕ ОПУБЛИКОВАНИЕ
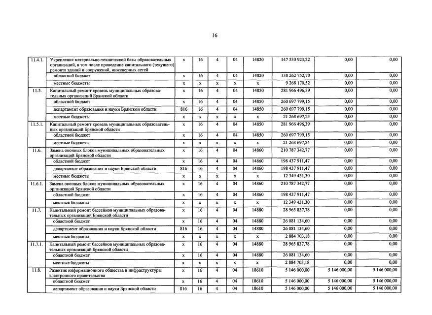
Постановление Правительства Брянской области от 05.12.2022 № 571-п
"О внесении изменений в постановление Правительства Брянской области от 31 декабря 2018 года № 764-п "Об утверждении государственной программы "Развитие образования и науки Брянской области"
Номер опубликования: 3200202212090010
Дата опубликования: 09.12.2022
Страница №19 из 24:
Увеличить