Официальное опубликование правовых актов
ОФИЦИАЛЬНОЕ ОПУБЛИКОВАНИЕ
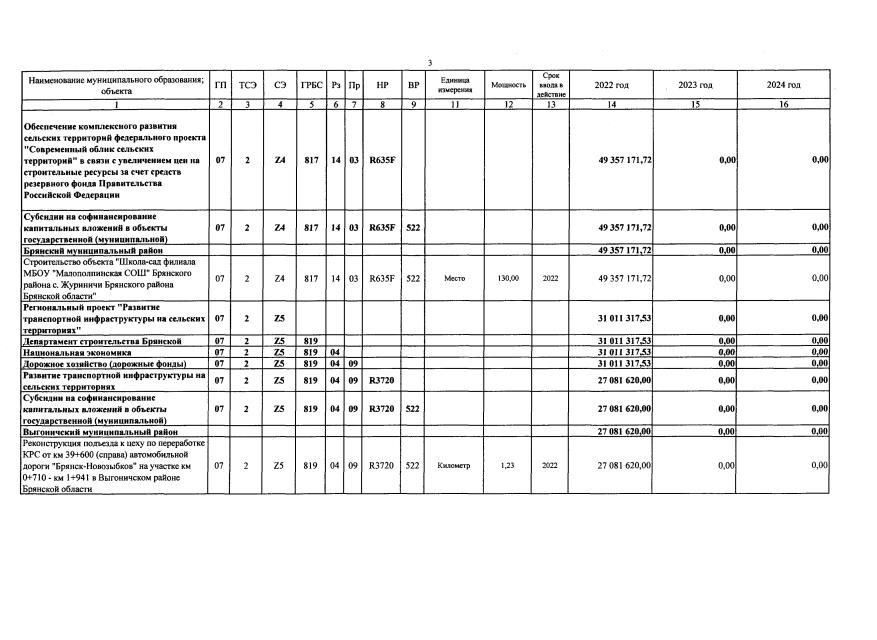
Постановление Правительства Брянской области от 25.11.2022 № 546-п
"О внесении изменений в постановление Правительства Брянской области от 20 декабря 2021 года № 570-п"
Номер опубликования: 3200202211290005
Дата опубликования: 29.11.2022
Страница №10 из 45:
Увеличить