Официальное опубликование правовых актов
ОФИЦИАЛЬНОЕ ОПУБЛИКОВАНИЕ
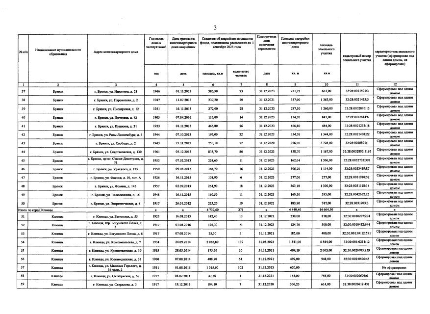
Постановление Правительства Брянской области от 14.11.2022 № 516-п
"О внесении изменений в региональную адресную программу "Переселение граждан из аварийного жилищного фонда на территории Брянской области" (2019 - 2023 годы)"
Номер опубликования: 3200202211170008
Дата опубликования: 17.11.2022
Страница №7 из 14:
Увеличить