Официальное опубликование правовых актов
ОФИЦИАЛЬНОЕ ОПУБЛИКОВАНИЕ
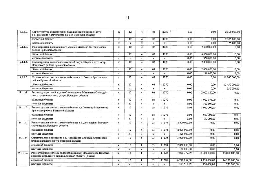
Постановление Правительства Брянской области от 14.11.2022 № 530-п
"О внесении изменений в постановление Правительства Брянской области от 31 декабря 2018 года № 752-п "Об утверждении государственной программы "Развитие топливно-энергетического комплекса и жилищно-коммунального хозяйства Брянской области"
Номер опубликования: 3200202211170003
Дата опубликования: 17.11.2022
Страница №41 из 56:
Увеличить