Официальное опубликование правовых актов
ОФИЦИАЛЬНОЕ ОПУБЛИКОВАНИЕ
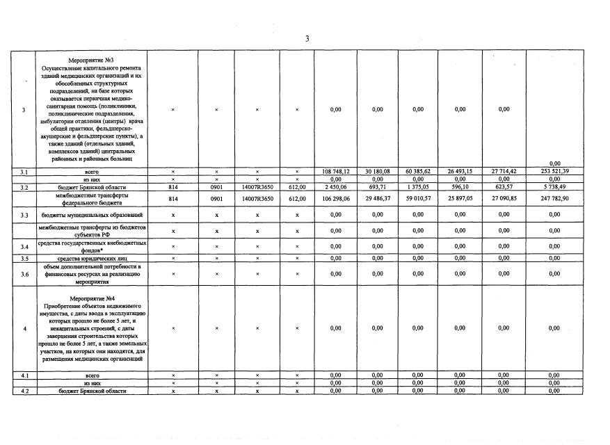
Постановление Правительства Брянской области от 10.11.2022 № 509-п
"О внесении изменений в региональную программу "Модернизация первичного звена здравоохранения Брянской области"
Номер опубликования: 3200202211150003
Дата опубликования: 15.11.2022
Страница №13 из 115:
Увеличить