Официальное опубликование правовых актов
ОФИЦИАЛЬНОЕ ОПУБЛИКОВАНИЕ
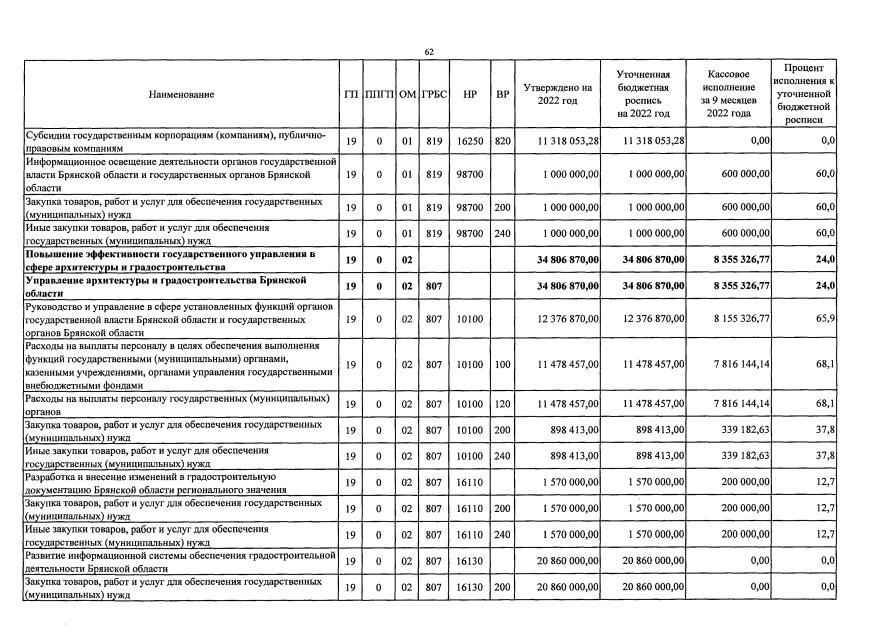
Постановление Правительства Брянской области от 31.10.2022 № 476-п
"Об утверждении отчета об исполнении областного бюджета за 9 месяцев 2022 года"
Номер опубликования: 3200202211030037
Дата опубликования: 03.11.2022
Страница №244 из 322:
Увеличить