Официальное опубликование правовых актов
ОФИЦИАЛЬНОЕ ОПУБЛИКОВАНИЕ
Постановление Правительства Брянской области от 31.10.2022 № 489-п
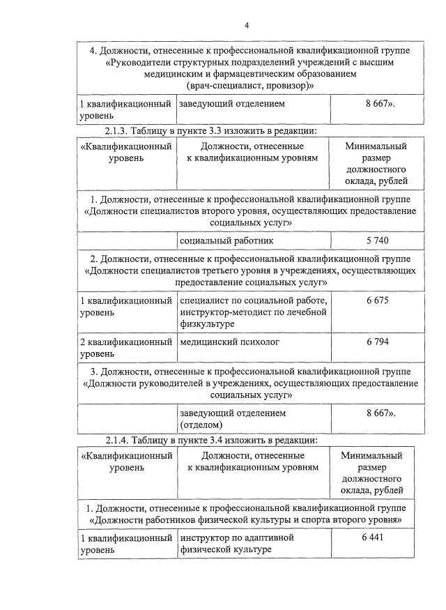
"О внесении изменений в постановление Правительства Брянской области от 22 января 2016 года № 33-п "Об утверждении Примерного положения об оплате труда работников государственных бюджетных и автономных учреждений социального обслуживания населения Брянской области"
Номер опубликования: 3200202211030034
Дата опубликования: 03.11.2022
Страница №4 из 9:
Увеличить