Официальное опубликование правовых актов
ОФИЦИАЛЬНОЕ ОПУБЛИКОВАНИЕ
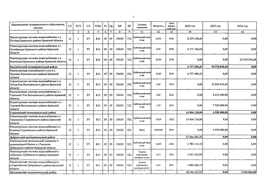
Постановление Правительства Брянской области от 26.09.2022 № 405-п
"О внесении изменений в постановление Правительства Брянской области от 20 декабря 2021 года № 570-п"
Номер опубликования: 3200202210030005
Дата опубликования: 03.10.2022
Страница №25 из 66:
Увеличить