Официальное опубликование правовых актов
ОФИЦИАЛЬНОЕ ОПУБЛИКОВАНИЕ
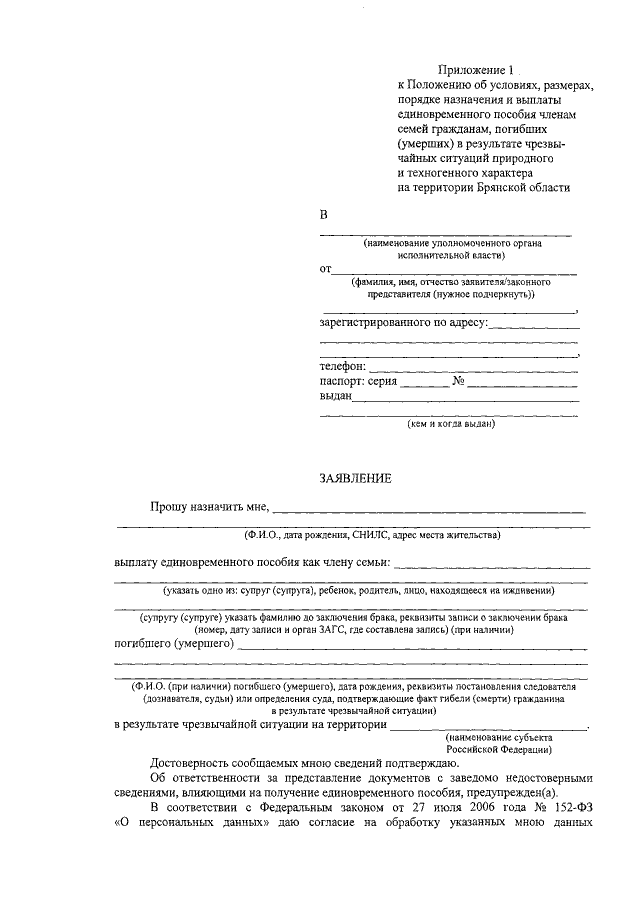
Постановление Правительства Брянской области от 26.09.2022 № 414-п
"О предоставлении мер социальной поддержки гражданам Российской Федерации‚ пострадавшим в результате чрезвычайных ситуаций природного и техногенного характера на территории Брянской области"
Номер опубликования: 3200202210030004
Дата опубликования: 03.10.2022
Страница №64 из 73:
Увеличить