Официальное опубликование правовых актов
ОФИЦИАЛЬНОЕ ОПУБЛИКОВАНИЕ
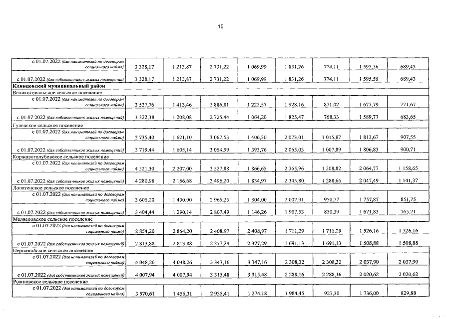
Постановление Правительства Брянской области от 05.09.2022 № 368-п
"О региональных стандартах стоимости жилищно-коммунальных услуг‚ используемых для расчета субсидий на оплату жилого помещения и коммунальных услуг"
Номер опубликования: 3200202209090006
Дата опубликования: 09.09.2022
Страница №17 из 45:
Увеличить