Официальное опубликование правовых актов
ОФИЦИАЛЬНОЕ ОПУБЛИКОВАНИЕ
Распоряжение Правительства Брянской области от 22.08.2022 № 142-рп
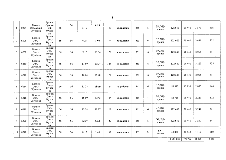
"О внесении изменений в комплексный план транспортного обслуживания населения Брянской области на средне- и долгосрочную перспективу (до 2030 года) в части пригородных пассажирских перевозок"
Номер опубликования: 3200202208250001
Дата опубликования: 25.08.2022
Страница №18 из 72:
Увеличить