Официальное опубликование правовых актов
ОФИЦИАЛЬНОЕ ОПУБЛИКОВАНИЕ
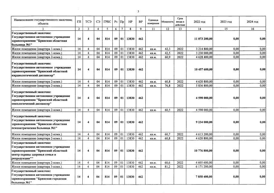
Постановление Правительства Брянской области от 09.08.2022 № 341-п
"О внесении изменений в постановление Правительства Брянской области от 20 декабря 2021 года № 570-п"
Номер опубликования: 3200202208110009
Дата опубликования: 11.08.2022
Страница №8 из 13:
Увеличить