Официальное опубликование правовых актов
ОФИЦИАЛЬНОЕ ОПУБЛИКОВАНИЕ
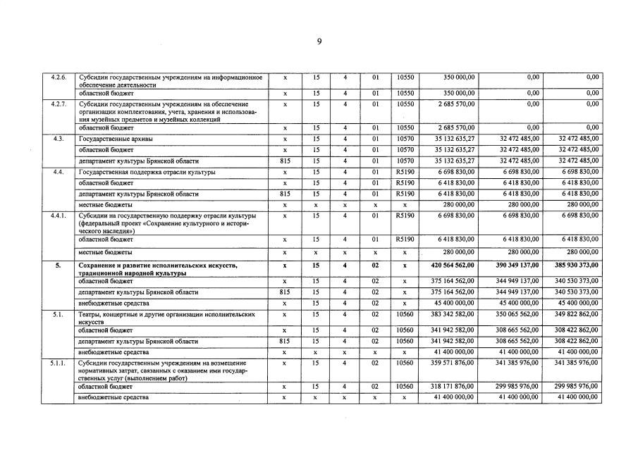
Постановление Правительства Брянской области от 08.08.2022 № 339-п
"О внесении изменений в государственную программу "Развитие культуры и туризма в Брянской области"
Номер опубликования: 3200202208110005
Дата опубликования: 11.08.2022
Страница №11 из 20:
Увеличить