Официальное опубликование правовых актов
ОФИЦИАЛЬНОЕ ОПУБЛИКОВАНИЕ
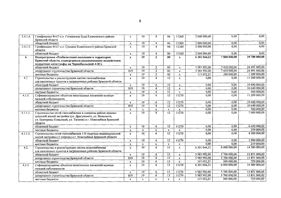
Постановление Правительства Брянской области от 18.07.2022 № 305-п
"О внесении изменений в государственную программу "Обеспечение реализации государственных полномочий в области строительства, архитектуры и развитие дорожного хозяйства Брянской области"
Номер опубликования: 3200202207220002
Дата опубликования: 22.07.2022
Страница №38 из 63:
Увеличить