Официальное опубликование правовых актов
ОФИЦИАЛЬНОЕ ОПУБЛИКОВАНИЕ
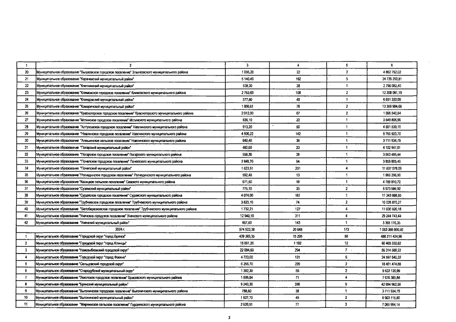
Постановление Правительства Брянской области от 16.05.2022 № 194-п
"Об утверждении краткосрочного (2023 - 2025 годы) плана реализации региональной программы "Проведение капитального ремонта общего имущества многоквартирных домов на территории Брянской области" (2014-2043 годы)"
Номер опубликования: 3200202205190005
Дата опубликования: 19.05.2022
Страница №67 из 70:
Увеличить