Официальное опубликование правовых актов
ОФИЦИАЛЬНОЕ ОПУБЛИКОВАНИЕ
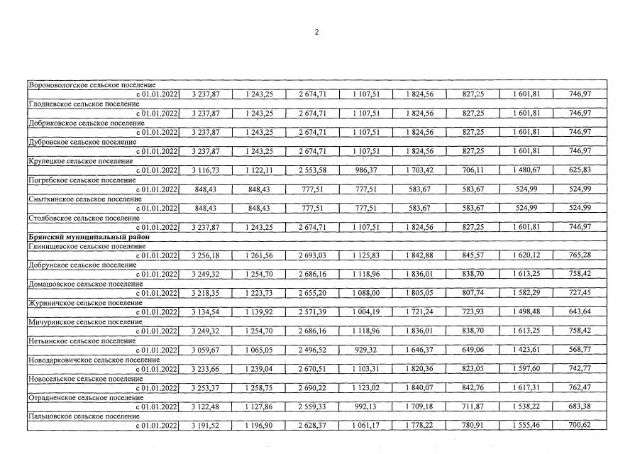
Постановление Правительства Брянской области от 18.04.2022 № 145-п
"О региональных стандартах стоимости жилищно-коммунальных услуг, используемых для расчета субсидий на оплату жилого помещения и коммунальных услуг"
Номер опубликования: 3200202204220009
Дата опубликования: 22.04.2022
Страница №33 из 45:
Увеличить