Официальное опубликование правовых актов
ОФИЦИАЛЬНОЕ ОПУБЛИКОВАНИЕ
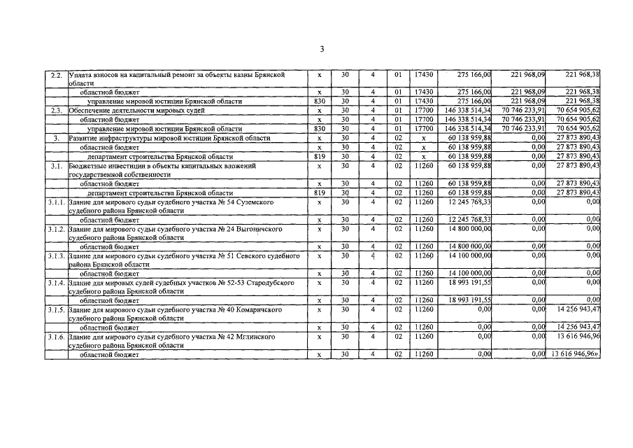
Постановление Правительства Брянской области от 11.04.2022 № 130-п
"О внесении изменений в государственную программу "Развитие мировой юстиции Брянской области"
Номер опубликования: 3200202204140001
Дата опубликования: 14.04.2022
Страница №3 из 4:
Увеличить